Infinite Impulse Response (IIR) filters include delayed and scaled versions of the output signal which are fed back into the current output.
IIR filters are described by the following difference equation:
where the input
and output
for . The terms are scalar feedforward filter coefficients and the terms are scalar feedback filter coefficients.
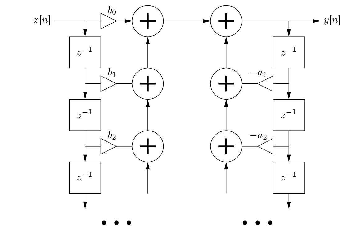
An IIR filter can be represented by a block diagram as shown in Fig. 10 below.
Figure 10:
A general IIR digital filter block diagram.
IIR filters make use of both feed-forward and feedback terms.
Given the feedback terms, IIR filters can become unstable based on the values of the feedback coefficients ( terms).
Because of this feedback, an IIR filter can produce strong peaks, or resonances, in its frequency magnitude response.
The feedback terms also result in a long filter impulse response. Though a stable filter's impulse response will decay toward zero over time, it technically never exactly reaches zero (ignoring issues of finite precision arithmetic).
The order of an IIR filter is equivalent to the greater of the number of its delayed input or output terms.