Finite Impulse Response (FIR) filters are defined by scaled and time-delayed versions of the filter input signal only, as given by the following difference equation:
where the input
and output
for . The terms are scalar filter coefficients.
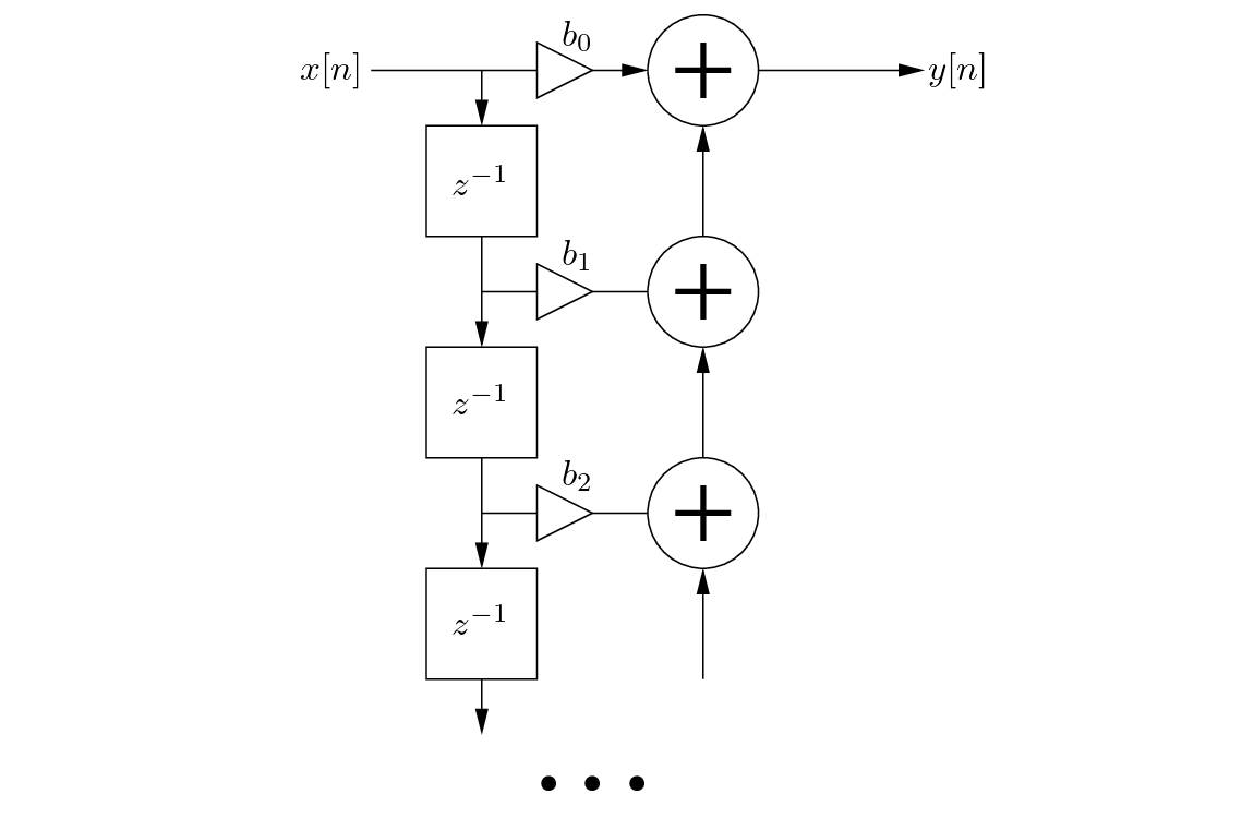
An FIR filter can be represented by a block diagram as shown in Fig. 5 below.
Figure 5:
An FIR filter block diagram.
The terms represent unit delays and are initialized to zero at time .
As seen in the filter block diagram, FIR filters make use of feed-forward terms only.
The impulse response of an FIR filter is only as long as the maximum delayed input term in its difference equation.
The summation of feedforward input terms can result in destructive signal interference, or cancellations, at certain frequency values.
The FIR filter is said to have an order equivalent to the number of unit delays in its difference equation. Note that some filter coefficients can have values of zero.