A second-order IIR digital filter given by the difference equation
(2)
is generally referred to as a Biquad filter and can be used to implement a wide-range of filter types in addition to resonance filters.
The Biquad EQ Cookbook
provides filter coefficient formulae for various filter types in terms of parameters such as , , bandwidth, slope, ...
The plot of various filter types shown at the beginning of this section was made with the filtertypes.m
Matlab script using the equations in the EQ Cookbook.
The web-based Interactive Biquad Calculator
visually demonstrates how a biquad filter frequency response changes in response to variations of the EQ parameters.
A frequency-domain representation of a digital filter can be determined from its difference equation using what is called the Transform.
where
,
is in radians per second and is the sample period.
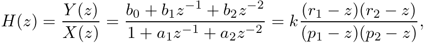
From this expression, we can determine the transfer function,
, of the filter:
where are complex roots of the numerator (called “zeros”) and are complex roots of the denominator (called “poles”).
For arbitrary digital filters, the number of zeros and poles in the transfer function will correspond to the number of delayed feedforward and delayed feedback terms, respectively, in the difference equation.
Generally, the frequency response of a digital filter will display local minima at frequencies close to zeros and local maxima at frequencies close to poles.
The web-based biquad pole-zero calculator
demonstrates the influence of pole and zero positions on the frequency response of a biquad filter.